合作客戶/
拜耳公司 |
同濟大學 |
聯合大學 |
美國保潔 |
美國強生 |
瑞士羅氏 |
相關新聞Info
推薦新聞Info
-
> 聚合物稠化劑(ASCM)合成條件、界面張力及耐鹽、耐剪切性能(二)
> 聚合物稠化劑(ASCM)合成條件、界面張力及耐鹽、耐剪切性能(一)
> 新型多羥基苯磺酸鹽驅油劑的界面張力優化及油田應用潛力分析(三)
> 新型多羥基苯磺酸鹽驅油劑的界面張力優化及油田應用潛力分析(二)
> 新型多羥基苯磺酸鹽驅油劑的界面張力優化及油田應用潛力分析(一)
> 基于最大氣泡壓力方法測量液態鋰錫合金表面張力
> 烷基糖苷表面活性劑界面張力與潤濕性相關性研究(二)
> 烷基糖苷表面活性劑界面張力與潤濕性相關性研究(一)
> 嵌段比例對溫敏聚合物表面張力的影響及臨界膠束濃度分析(五)
> 嵌段比例對溫敏聚合物表面張力的影響及臨界膠束濃度分析(四)
各種測量ILs汽化焓對比:表面張力法、熱重法、簡單相加法、 基團貢獻法……(二)
來源:化工學報 瀏覽 1510 次 發布時間:2024-08-16
2估算法
2.1有效原子法
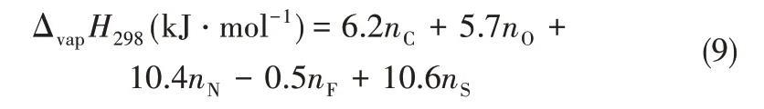
2005年,Kabo等[37]用Knudsen滲流法測出了[C4mim][Tf2N]的蒸氣壓,從而計算得到汽化焓,Kabo等基于有效原子的相加性提出式(9)計算298 K的汽化焓
式中,ni是分子或離子對中第i種原子的數量。
2.2沸點估計法
2005年,Rebelo等[36]將E?tv?s公式應用在ILs上,2006年,Kabo等[40]用這種方法估算了[Cnmim][Tf2N]系列ILs的汽化焓。
已知不同溫度下表面張力的數值,物質的臨界溫度Tc可以通過E?tv?s公式估算
式中,γ是樣品在溫度T下測得的表面張力;V是液體的摩爾體積;Tc是臨界溫度;k是經驗常數。將實驗值γ和V2/3的乘積相對于熱力學溫度T進行線性回歸,并獲得一條直線,從直線和截距的斜率,可以得到k和Tc的值。對于大部分有機液體來說,k大約為2.1×10-7J·K-1,而對于簡單熔鹽,k比較小,NaCl的k≈10-7J·K-1。
Rebelo等[36]認為ILs的沸點Tb可以用Tc估算
雖然Kabo等[40]用這種方法估算了ILs的汽化焓,但是他們認為這些公式是從分子液體中得出的,可能并不適用于ILs,因此他們在之后提出了表面張力法。
2007年,Tong等[68]使用這種方法推導了[C6mim][InCl4](1-甲基-3-己咪唑氯銦)的汽化焓為70.8 kJ·mol-1,小于表面張力法計算得到的ΔvapH298(171.8 kJ·mol-1)。
2.3簡單相加法
2008年,Verevkin[71]開發了一種基于經驗公式的簡單相加法來計算ILs的蒸發焓,該焓被分解為構成元素的主要成分和輔助成分的校正(基于結構上的特殊性,例如CF3基團或環狀結構的存在)
式中,ΔHi是第i種元素的貢獻;ΔHj是第j種元素的貢獻;nj是ILs中第j種結構校正的次數。
使用簡單相加法計算ILs的汽化焓直接簡便,因為它是經驗公式,因此不需要任何實驗輸入或昂貴的計算資源,這是一種獲得ILs熱力學性質的新方法,它將為支持從頭計算程序和分子動力學模擬技術提供有價值的數據,以便在分子基礎上理解ILs的熱力學性質。
2.4基團貢獻法
2012年,Zaitsau等[72]使用石英晶體微量天平法測量了具有相同陽離子1-乙基-3-甲基咪唑[C2mim]+和不同陰離子組成的一系列ILs,揭示了汽化焓和特定的陽離子與陰離子相互作用之間的關系。
在之前的工作中,Verevkin等[71]已經提出了用簡單相加法估算ILs蒸發焓,他們還建立了蒸發焓的經驗基團貢獻方程,盡管簡單,但與所研究流體的實驗結果差異不超過5 kJ·mol-1。在此基礎上,Zaitsau等[73]開發了一種簡單的基團貢獻方法來預測烷基咪唑類ILs的汽化焓,在這個工作中,他們參考了實驗結果和文獻數據,給出了每個基團的貢獻值,可以直接進行加和計算。
ILs的組合方式眾多,可能形成的ILs的數量巨大,因此,開發一種能夠用來預測未合成的ILs的物理化學性質的方法十分重要[73]。這種估算ILs汽化焓的方法簡單方便,廣泛地適用于包含咪唑陽離子的ILs,而可能不適用于其他體系的ILs。
3結論
本文綜述了測量ILs汽化焓的實驗方法和估算方法,估算法簡單方便,得到的汽化焓數據可以作為參考,而實驗法結果可靠,能夠為研究提供更準確的數據。其中,大部分實驗法需要在較高溫度條件下測量ILs的汽化焓,但是有很多ILs熱穩定性差,在高溫下容易分解,因此,對它們而言,用表面張力法來計算它們在298 K處的汽化焓是有必要的,但表面張力法只能計算室溫下的ILs汽化焓,而用其他方法可以得到ILs在沸點附近的汽化焓,這對認識它們的性質更為重要。
總而言之,本文介紹和評價了各種測量ILs汽化焓的方法,簡述其研究思路,并進行比較,有助于研究者選擇合適的方法進行研究。通過對ILs汽化焓的實驗測定,認識到簡單ILs的汽化焓并不高,在100~150 kJ·mol-1之間,這是一個新發現。此外,汽化焓的測定能夠為計算機模擬提供更多的數據,構建精確的分子模型,有助于深入了解ILs的性質,從而預測ILs的行為。從工業上看,汽化焓與物質的蒸餾、吸收、溶解等過程均相關,ILs汽化焓數據的確定有助于將來能夠改進ILs的合成路線,拓展ILs的應用。





