合作客戶/
拜耳公司 |
同濟大學 |
聯合大學 |
美國保潔 |
美國強生 |
瑞士羅氏 |
相關新聞Info
-
> 不同濃度的過氧化氫模擬氧化對豬皮明膠乳化性能、界面張力、Zeta電位的影響(二)
> 復合劑對不同基礎油界面張力的影響差異
> 低界面張力起泡劑篩選
> 低分子熱塑性樹脂體系CBT500/DBTL的界面張力與溫度的關聯性(二)
> 助劑臨界膠束濃度對芒果細菌性角斑病防治藥劑表面張力的影響(一)
> 低溫β-甘露聚糖酶提升低溫油藏壓裂液的破膠性能——摘要
> 液氫、液氧等低溫推進劑表面張力與內角自流現象的關系
> 基于水煤漿流變性和動態表面張力觀察水煤漿的微觀破裂特性(三)
> ?表面張力儀干什么用的??表面張力儀原理、類型、使用方法及注意事項
> 水面上單分子層膜通過磷脂光控開關實現可逆光學控制——結果與討論
推薦新聞Info
-
> 二甲亞砜與二甲苯異構體混合物的體積收縮與表面張力降低效應(二)
> 二甲亞砜與二甲苯異構體混合物的體積收縮與表面張力降低效應(一)
> 表面能與表面張力對凍干制劑中“小瓶霧化”現象的影響機制研究
> 新型懸滴實驗系統的研制與二甲基亞砜/甲醇混合物表面張力測量(二)
> 新型懸滴實驗系統的研制與二甲基亞砜/甲醇混合物表面張力測量(一)
> 噻噸酮光敏劑體系:光電轉換與顯色特性的深度解析
> 溫度、締合強度、截斷半徑對球形空腔中締合流體界面張力的影響(二)
> 溫度、締合強度、截斷半徑對球形空腔中締合流體界面張力的影響(一)
> 一文讀懂什么是超微量天平
> LiF-CaF?-Yb?O?熔鹽體系表面張力的測定及其對Ni-Yb合金電解的指導意義(二)
肺內液表面張力的作用、臨床意義及測量方法(二)
來源: 《醫用生物力學》 瀏覽 953 次 發布時間:2025-01-07
2肺液體黏度的測量方法
適用于肺液體黏度測量的經典方法有毛細管法、旋轉黏度計等。近年來出現的磁性微流變儀,粒子追蹤微流變儀等新技術,由于其所需樣品量小、測量范圍廣等突出的特點,在肺內液黏度測量上有著廣闊的應用前景。
2.1毛細管黏度計
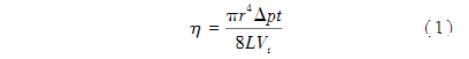
毛細管黏度計也稱為管型黏度計,常見的是U形玻璃管黏度計。U形玻璃管一個臂中有精確的窄孔(毛細管),在毛細管的上部是測量球,測量球的上下部分存在兩個校準標記;另一個臂的下端有一個儲液球。在使用中,液體被吸入測量球中,然后液體向下流過毛細管進入儲液器。液體在兩個標記之間通過的時間是黏度(η)的量度。毛細管黏度計的原理是基于Poiseuille定律:
式中:r為毛細管半徑;t為液體流經毛細管的時間;L為毛細管長度;Vt為t時間內液體所流過的體積;Δp為液體上下液面的壓力差。毛細管黏度計使用方便,但它受剪切速率限制(一次只能測量對應一個剪切速率的黏度),并不適合肺液體或者黏液等非牛頓液體黏度的測量。
2.2旋轉黏度計
旋轉黏度計分為兩種基本類型:一種為同軸圓柱體型,另一種為圓錐?平板型。圓柱黏度計的主要缺點是所需樣品量較大,如商業化的Wells?Brookfield圓柱黏度計,盡管其使用了專門設計的小樣本適配器,但仍需要2——16mL樣本量。因此,臨床試驗中很少使用圓筒黏度計來測量肺液體黏度。錐板型黏度計主要包括一個平板和一個圓錐,圓錐的錐角一般在0?8°——3°,近似于平板,圓錐緊貼平板放置,兩者間留有微小的間隙。測試時,少量被測液體(一般只需要0?5——2?0mL)放置在錐與板形成的狹窄間隙內。基于測得的扭矩(剪切應力)和角速度(剪切速率),被測液體的黏度可表示為:
式中:M為扭矩;θ為錐角;r為圓錐體的半徑;ω為角速度。錐板式黏度計已被廣泛應用于肺液體流變學特性的測量。Baldry等使用錐板式黏度計測量的結果表明,在不同剪切速率下,使用相同痰液樣本可以獲得相似結果。同樣,King等使用錐板式黏度計研究小牛肺表面活性劑水擴散物的體積剪切黏度。結果表明,肺表面活性劑表現出復雜的非牛頓流體特性,低剪切速率下具有較高的黏度。
2.3磁性微流變儀
磁性微流變儀主要用于小樣品量液體黏度的測量,故十分適合對呼吸道黏液流變特性進行分析。在顯微鏡載物臺上放置底部透明的容器,里面盛放待測液體并放入小鋼球(直徑50——150μm)。通過調節電磁場梯度振蕩使球體發生位移,并用高分辨率視頻顯微鏡監測小球軌跡,借助小球位移與磁力的關系曲線確定黏液的黏度】.磁性微流變儀的主要優點是所需的樣品體積小,僅需2——5μL.然而,磁性微流變儀也存在某些缺點,如樣本量非常小而導致快速脫水的危險,可能影響黏液流變性質。King等研究認為,磁性微流變儀的精度可能低于其他流變裝置,這使得它可能更適合研究藥物干預或疾病對黏液流變學的影響。2?4粒子追蹤微流變儀粒子追蹤微流變儀可用來刻畫復雜流體的線性黏彈特性,具有類似傳統體積流變學測量的精度,同時測量所需的樣品量可小至皮升到微升數量級。實驗裝置主要包括光源、膠體探針、光學顯微鏡、快速COMS相機和專門軟件等。在低黏性流體中加入膠體探針,通過快速COMS相機獲得流體中膠體探針的布朗熱運動視頻。然后使用專門軟件對膠體探針的質心位置進行逐幀匹配,以識別每個粒子并生成其軌跡,依據膠體探針軌跡進一步計算單個粒子的均方位移(meansquareddisplacements,MSD)。對MSD進行分析可以得出流體的線性黏度隨時間或頻率的函數,進而計算出待測液的黏度。Dawson等利用多粒子追蹤技術測量了囊性纖維化患者痰液在微米尺度上的有效黏度,結果發現CF痰液微觀黏度比宏觀黏度低1個數量級,表明CF患者痰液黏彈性的增強與粒子傳輸微觀不均一性的增加相關。但基于粒子追蹤表征黏液微觀黏度時,可能由于膠體探針與黏液間的黏附作用使得測量值高于實際值。





