合作客戶/
拜耳公司 |
同濟大學 |
聯合大學 |
美國保潔 |
美國強生 |
瑞士羅氏 |
相關新聞Info
推薦新聞Info
-
> 新型多羥基苯磺酸鹽驅油劑的界面張力優化及油田應用潛力分析(一)
> 基于最大氣泡壓力方法測量液態鋰錫合金表面張力
> 烷基糖苷表面活性劑界面張力與潤濕性相關性研究(二)
> 烷基糖苷表面活性劑界面張力與潤濕性相關性研究(一)
> 嵌段比例對溫敏聚合物表面張力的影響及臨界膠束濃度分析(五)
> 嵌段比例對溫敏聚合物表面張力的影響及臨界膠束濃度分析(四)
> 利用表面張力優化浮選工藝:調整劑AY在石英-膠磷礦分離中的活性調控(二)
> 利用表面張力優化浮選工藝:調整劑AY在石英-膠磷礦分離中的活性調控(一)
> 嵌段比例對溫敏聚合物表面張力的影響及臨界膠束濃度分析(三)
> 嵌段比例對溫敏聚合物表面張力的影響及臨界膠束濃度分析(二)
液體表面張力系數的數值計算
來源:吳義彬 瀏覽 1921 次 發布時間:2022-10-31
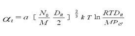
在黃昆先生“表面張力【1】”與“關于韓康琦同志所提意見的說明【2】”等文章的啟示下,推導出了液體表面張力系數的理論公式【3】:
其中N0為阿伏伽德羅數,M為摩爾質量,Dit是液體的密度,Dgt是液體飽和蒸汽的密度,a為與液體種類相關的常量。為驗證(1)式的正確性,對汞、乙醚、水、乙醇等實際液態物質的表面張力系數進行理論計算,并與實驗實測值'相比較,列于下表【3】:
注:表中的
表列數據直接代入下式即可計算出:
表中的數據表明,試探確定各物質的比率常數a值后,由宏觀參量Pgt、Dit、T(物理手冊上的實驗數據)直接按(2)式計算出來的與查表所得到的'相對照,一致性良好。有力地驗證了:不管是單原子分子液體,還是由多原子分子構成的不同性質的液體,在較寬溫度范圍內,理論計算結果都具有良好的準確性與可靠性,具有普遍性意義。
結論:液體表面張力系數的理論公式(1),符合自然運作所遵循的客觀規律。
參考文獻:
[1]黃昆,表面張力,物理通報,1953年4月155頁。
[2]黃昆,關于韓康琦同志所提意見的說明,物理通報,1955年11月702頁。
[3]吳義彬.飽和蒸汽壓下單元液體的物態方程及其應用[J].江西科學,2010,28(5):593.
[4]陸重美。中等物理學手冊[M]。北京:中國青年出版社,1960。
[5](蘇聯)К.П。雅闊夫列夫,黃鏡權,尤烈之(譯)。簡明物理技術手冊(第1卷)[M]。北京:中國工業出版社,1966。
[6]里天。常用物理常數手冊[M]。昆明:云南人民出版社,1983。





